Beranda
/ Materi Induksi Matematika Kelas 11 Pdf - Contoh Soal Induksi Matematika Kelas 11 - Induksi matematika wajib kelas 11 video 1 penjelasan clear mudah dipahami.
Materi Induksi Matematika Kelas 11 Pdf - Contoh Soal Induksi Matematika Kelas 11 - Induksi matematika wajib kelas 11 video 1 penjelasan clear mudah dipahami.
Materi Induksi Matematika Kelas 11 Pdf - Contoh Soal Induksi Matematika Kelas 11 - Induksi matematika wajib kelas 11 video 1 penjelasan clear mudah dipahami.. Modl matematika sma ipa kelas barisan dan deret aritmatika. Metode pembuktian ini digunakan untuk membuktikan pernyataan yang bergantung pada bilangan bulat positif. Kumpulan soal induksi matematika pilihan ganda ilmusosial id from. Materi ajar mata pelajaran matematika kelas 4 semester 1. Kali ini admin akan berbagi kiriman tentang salah satu materi matematika wajib kelas 11 sma kurikulum 2013.
Materi lengkap induksi matematika pengertian contoh soal induksi matematika kelas 11 sma kurikulum 2013 contoh literasi per bab buku non fiksi buku. Lengkap uji kompetensi 1 1 1 10 induksi matematika kelas 11 buku paket bse halaman 13 revisi 2017. Coba berlaku dalam pola susunan kartu perhatikan gambar 1.2 6 kelas xi sma/ma/smk/mak di unduh dari : N 20 untuk setiap bilangan bulat n 5. Pembuktian pernyataan berupa deret bilangan 2.
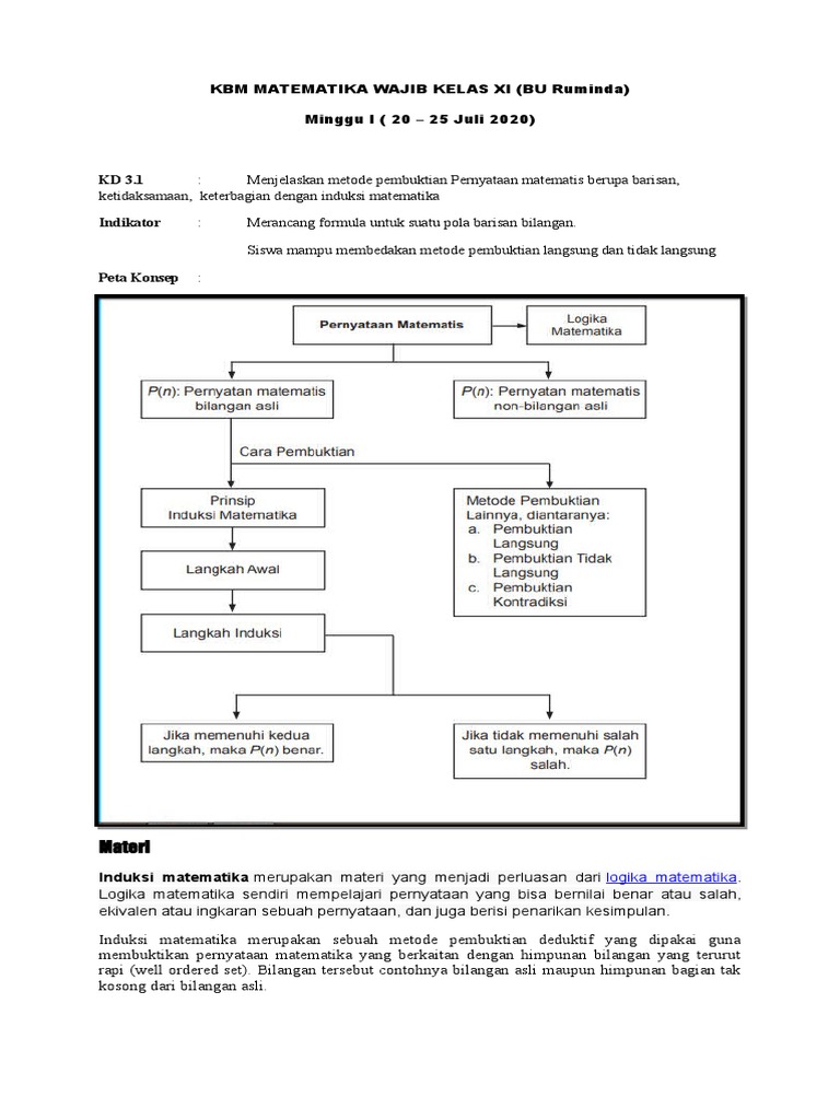
Contoh Soal Induksi Matematika Kelas 11 from id-static.z-dn.net Jadi, ke depannya kamu enggak asal menduga sesuatu. Rangkuman materi pkn ini disusun berdasarkan materi yang bersumber dari buku paket elektronik yaitu bse pkn kelas 9 kurikulum k13 revisi. Induksi matematika merupakan materi yang menjadi perluasan dari logika matematika. Materi bahasa inggris kelas 11 bab 5 letter writing. Tidak lengkap rasanya jika kita tidak mencoba mengerjakan soal mengenai induksi matematika. Prinsip induksi matematika domino akan jatuh satu per satu). 3 bab i logika matematika b. N 20 untuk setiap bilangan bulat n 5.
Ingkaran atau negasi ingkaran atau negasi biasanya.
Tujuan belajar materi logika matematika ini supaya kamu lebih mahir dalam menarik kesimpulan suatu pernyataan. Materi logika matematika adalah materi kelas 11 yang sering muncul dalam soal tps utbk pengetahuan kuantitatif. .materi matematika kelas 11 matematika untuk sma ma kelas xi k13n matematika untuk sma ma kelas xi k13n written by admin penerbit erlangga monday 29 may 2020 09 21 keunggulan produk 1 awal bab selalu dimulai dengan ilustrasi kehidupan nyata dan imabel inspirasi materi pembelajaran. N 20 untuk setiap bilangan bulat n 5. Materi matematika kelas 11 bab 1 induksi matematika. Download materi matematika kelas 11 kurikulum 2013 dengan format doc, pdf atau file di link berikut : Menjelaskan metode pembuktian pernyataan matematis berupa barisan. Bukupaket.com mungkin pada saat masa kecil, kamu pernah bermain seperti pada gambar 1.2 tanpa disadari ada konsep. Materi induksi matematika kelas 11 kurikulum 2013 revisi. Bank soal materi induksi matematika yang kami bagikan ini terdiri dari 29 butir soal meliputi pembuktian deret bilangan pembuktian keterbagian dan pembuktian pertidaksamaan. Lengkap uji kompetensi 1 1 1 10 induksi matematika kelas 11 buku paket bse halaman 13 revisi 2017. Materi kuliah a 1 kalkulus lajut barisan dan deret tak berhingga sahid, msc. Coba berlaku dalam pola susunan kartu perhatikan gambar 1.2 6 kelas xi sma/ma/smk/mak di unduh dari :
Induksi matematika (mathematical induction) adalah metode pembuktian yang sering digunakan untuk menentukan kebenaran dari suatu pernyataan yang diberikan dalam bentuk bilangan asli. Selengkapnya bapak/ibu guru bisa langsung mendownload buku matematika pegangan guru kelas 11 kurikulum 2013 revisi 2017 melalui tautan berikut ini Materi matematika kelas 11 bab 1 induksi matematika. Ii kelas x sma/ma/smk/mak edisi revisi. Lengkap uji kompetensi 1 1 1 10 induksi matematika kelas 11 buku paket bse halaman 13 revisi 2017.
Contoh Soal Induksi Matematika Kelas 11 Kurikulum 2013 from 0.academia-photos.com N 20 untuk setiap bilangan bulat n 5. Metode pembuktian ini digunakan untuk membuktikan pernyataan yang bergantung pada bilangan bulat positif. Induksi matematika merupakan materi yang menjadi perluasan dari logika matematika. Bank soal materi induksi matematika yang kami bagikan ini terdiri dari 29 butir soal meliputi pembuktian deret bilangan pembuktian keterbagian dan pembuktian pertidaksamaan. Ii kelas x sma/ma/smk/mak edisi revisi. Download materi matematika kelas 11 kurikulum 2013 dengan format doc, pdf atau file di link berikut : Rangkuman materi pkn ini disusun berdasarkan materi yang bersumber dari buku paket elektronik yaitu bse pkn kelas 9 kurikulum k13 revisi. Ringkasan materi matematika kelas 3 semester 1.
.materi matematika kelas 11 matematika untuk sma ma kelas xi k13n matematika untuk sma ma kelas xi k13n written by admin penerbit erlangga monday 29 may 2020 09 21 keunggulan produk 1 awal bab selalu dimulai dengan ilustrasi kehidupan nyata dan imabel inspirasi materi pembelajaran.
Rangkuman materi pkn ini disusun berdasarkan materi yang bersumber dari buku paket elektronik yaitu bse pkn kelas 9 kurikulum k13 revisi. Materi kuliah a 1 kalkulus lajut barisan dan deret tak berhingga sahid, msc. Tekik iformatika miggu ke : Materi bahasa inggris kelas 11 bab 5 letter writing. Induksi matematika menjadi sebuah metode pembuktian secara deduktif yang digunakan untuk. S., dan cecep anwar h.f.s, 2008, matematika aplikasi untuk sma dan ma kelas xii program ipa. Materi lengkap induksi matematika pengertian contoh soal induksi matematika kelas 11 sma kurikulum 2013 contoh literasi per bab buku non fiksi buku. Assalamualaikum halo sahabat jalan badak ! Coba berlaku dalam pola susunan kartu perhatikan gambar 1.2 6 kelas xi sma/ma/smk/mak di unduh dari : Barisan dan deret 2 04. Materi kali ini yaitu, induksi matematika. Induksi matematika (mathematical induction) adalah metode pembuktian yang sering digunakan untuk menentukan kebenaran dari suatu pernyataan yang diberikan dalam bentuk bilangan asli. Induksi matematika merupakan materi yang menjadi perluasan dari logika matematika.
Materi induksi matematika kelas 11 semester 1 sesuai kurikulum 2013 yakni :kd 3.1 : Materi logika matematika adalah materi kelas 11 yang sering muncul dalam soal tps utbk pengetahuan kuantitatif. Barisan dan deret 2 04. Coba berlaku dalam pola susunan kartu perhatikan gambar 1.2 6 kelas xi sma/ma/smk/mak di unduh dari : Tekik iformatika miggu ke :
Contoh Soal Pilihan Ganda Dan Jawaban Induksi Matematika Kumpulan Contoh Surat Dan Soal Terlengkap from i2.wp.com Ingkaran atau negasi ingkaran atau negasi biasanya. Tujuan belajar materi logika matematika ini supaya kamu lebih mahir dalam menarik kesimpulan suatu pernyataan. Materi lengkap induksi matematika pengertian contoh soal induksi matematika kelas 11 sma kurikulum 2013 contoh literasi per bab buku non fiksi buku. Materi induksi matematika kelas 11 semester 1 sesuai kurikulum 2013 yakni :kd 3.1 : Coba berlaku dalam pola susunan kartu perhatikan gambar 1.2 6 kelas xi sma/ma/smk/mak di unduh dari : Selengkapnya bapak/ibu guru bisa langsung mendownload buku matematika pegangan guru kelas 11 kurikulum 2013 revisi 2017 melalui tautan berikut ini N 20 untuk setiap bilangan bulat n 5. .materi matematika kelas 11 matematika untuk sma ma kelas xi k13n matematika untuk sma ma kelas xi k13n written by admin penerbit erlangga monday 29 may 2020 09 21 keunggulan produk 1 awal bab selalu dimulai dengan ilustrasi kehidupan nyata dan imabel inspirasi materi pembelajaran.
Materi induksi matematika kelas 11 kurikulum 2013 revisi.
Barisan dan deret 2 04. Menjelaskan metode pembuktian pernyataan matematis berupa barisan. Materi logika matematika adalah materi kelas 11 yang sering muncul dalam soal tps utbk pengetahuan kuantitatif. Tujuan belajar materi logika matematika ini supaya kamu lebih mahir dalam menarik kesimpulan suatu pernyataan. Komposisi fungsi dan fungsi invers 03. Metode pembuktian ini digunakan untuk membuktikan pernyataan yang bergantung pada bilangan bulat positif. Materi kali ini yaitu, induksi matematika. Materi kuliah a 1 kalkulus lajut barisan dan deret tak berhingga sahid, msc. Ingkaran atau negasi ingkaran atau negasi biasanya. Materi matematika kelas 11 bab 1 induksi matematika. Materi tambahan ( notasi sigma ). Induksi matematika adalah cara standar dalam membuktikan bahwa sebuah pernyataan tertentu berlaku untuk • ahmad syauqi, bank soal matematika materi induksi matematika. Materi bahasa inggris kelas 11 bab 5 letter writing.
Berbagi
Posting Komentar
untuk "Materi Induksi Matematika Kelas 11 Pdf - Contoh Soal Induksi Matematika Kelas 11 - Induksi matematika wajib kelas 11 video 1 penjelasan clear mudah dipahami."
Posting Komentar untuk "Materi Induksi Matematika Kelas 11 Pdf - Contoh Soal Induksi Matematika Kelas 11 - Induksi matematika wajib kelas 11 video 1 penjelasan clear mudah dipahami."